Упр.851 ГДЗ Колягин Ткачёва 11 класс (Алгебра)
Решение #1
Решение #2

Рассмотрим вариант решения задания из учебника Колягин, Ткачёва, Фёдорова 11 класс, Просвещение:
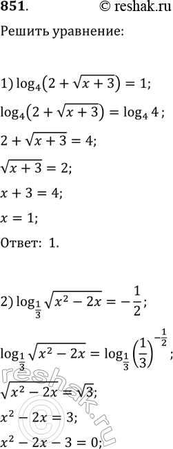
851 1) log4(2 + корень x+3)=1;
2) log1/3 корень x2-2x = -1/2;
3) 1/2 log3(x+1) = log3 корень x+4 - 2log3 корень 2.
*размещая тексты в комментариях ниже, вы автоматически соглашаетесь с пользовательским соглашением