Упр.847 ГДЗ Никольский Потапов 8 класс (Алгебра)
Решение #1

Рассмотрим вариант решения задания из учебника Никольский, Потапов 8 класс, Просвещение:
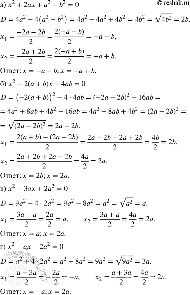
847. Для любых чисел а и b решите уравнение:
а) х2 + 2ах + а2 - b2 = 0;
б) х2 - 2 (а +b) х + 4аb = 0;
в) х2 - 3ax + 2а2 = 0;
г) х2 - ах - 2а2 = 0.
*размещая тексты в комментариях ниже, вы автоматически соглашаетесь с пользовательским соглашением