Упр.726 ГДЗ Никольский Потапов 8 класс (Алгебра)
Решение #1

Рассмотрим вариант решения задания из учебника Никольский, Потапов 8 класс, Просвещение:
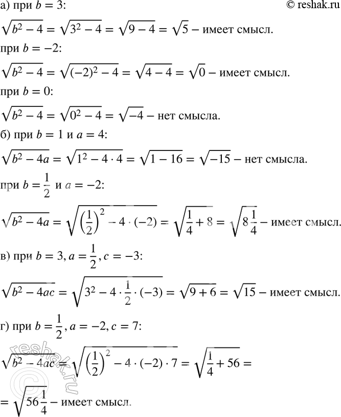
726. Имеет ли смысл выражение при заданных значениях букв:
а) корень (b2 - 4) при b = 3, b = -2, b = 0;
б) корень (b2 - 4а) при b=1 и а = 4; b=1/2 и а = -2;
в) корень (b2 - 4ас) при b = 3, а =1/2, с = -3;
г) корень (b2 - 4ас) при b = 1/2, а = -2, с = 7?
*размещая тексты в комментариях ниже, вы автоматически соглашаетесь с пользовательским соглашением