Упр.696 ГДЗ Никольский Потапов 8 класс (Алгебра)
Решение #1

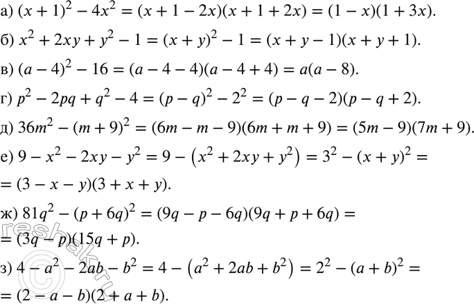
Рассмотрим вариант решения задания из учебника Никольский, Потапов 8 класс, Просвещение:
696. а) (х + 1)2 - 4х2;
б) х2 + 2ху + у2 - 1;
в) (а - 4)2 - 16;
г) р2 - 2pq + q2 - 4;
д) 36m2 - (m + 9)2;
е) 9 - х2 - 2ху - у2;
ж) 81у2 - (р + 6у)2;
з) 4 - а2 - 2аb - b2.
*размещая тексты в комментариях ниже, вы автоматически соглашаетесь с пользовательским соглашением