Упр.683 ГДЗ Колягин Ткачёва 11 класс (Алгебра)
Решение #1
Решение #2

Рассмотрим вариант решения задания из учебника Колягин, Ткачёва, Фёдорова 11 класс, Просвещение:
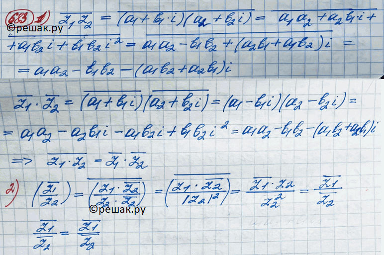
683 Доказать, что для любых комплексных чисел z1 и z2 справедливо равенство:
1) z1z2=z1z2;
2) (z1/z2) = z1/z2, z2=/0.
*размещая тексты в комментариях ниже, вы автоматически соглашаетесь с пользовательским соглашением