Упр.617 ГДЗ Колягин Ткачёва 11 класс (Алгебра)
Решение #1
Решение #2

Рассмотрим вариант решения задания из учебника Колягин, Ткачёва, Фёдорова 11 класс, Просвещение:
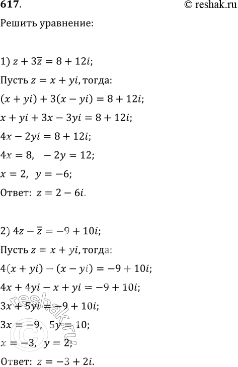
617. Решить уравнение:
1) z + 3z =8 + 12i;
2) 4z - z = -9 + 10i.
*размещая тексты в комментариях ниже, вы автоматически соглашаетесь с пользовательским соглашением