Упр.59 ГДЗ Колягин Ткачёва 11 класс (Алгебра)
Решение #1
Решение #2

Рассмотрим вариант решения задания из учебника Колягин, Ткачёва, Фёдорова 11 класс, Просвещение:
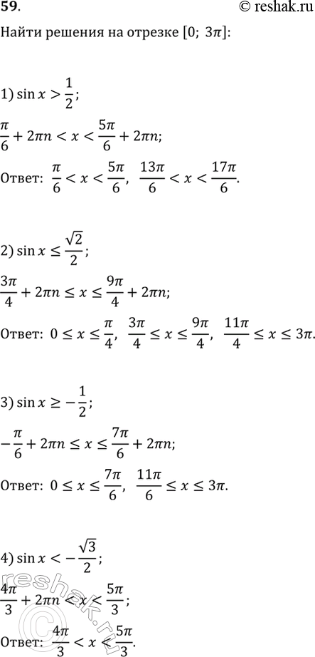
59. Найти все принадлежащие отрезку [0; 3пи] решения неравенства:
1) sinx>1/2;
2) sinx<= корень 2/2;
3) sinx>=-1/2;
4) sinx<- корень 3/2.
*размещая тексты в комментариях ниже, вы автоматически соглашаетесь с пользовательским соглашением