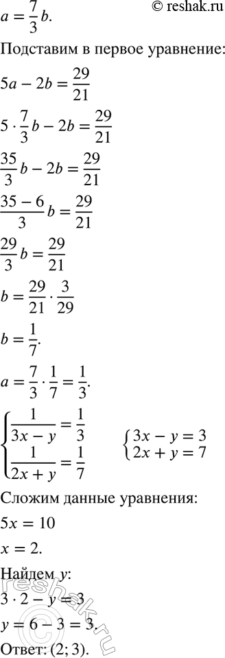
Упр.549 ГДЗ Никольский Потапов 8 класс (Алгебра)
Решение #1

Рассмотрим вариант решения задания из учебника Никольский, Потапов 8 класс, Просвещение:
549 а) система
x2+12y=-68,
y2-4x=28;
б) система
4x2+2y=-1,
y2+4x=-1;
в) система
г) система
*размещая тексты в комментариях ниже, вы автоматически соглашаетесь с пользовательским соглашением