Упр.547 ГДЗ Никольский Потапов 8 класс (Алгебра)
Решение #1

Рассмотрим вариант решения задания из учебника Никольский, Потапов 8 класс, Просвещение:
547 а) система
1/x-1/y=1/6,
x-y=-1;
б) система
1/y+1/x=5/6,
x+y=5;
в) система
1/x+1/y=-1/6,
x+y=1;
г) система
1/x-1/y=-1/12,
x-y=1;
д) система
2/y-3=-8,
3x+y=3;
е) система
2/x-3y=-1*5/12,
x-y=1;
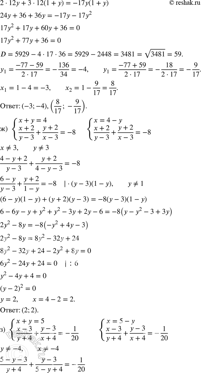
ж) система
з) система
и) система
к) система
*размещая тексты в комментариях ниже, вы автоматически соглашаетесь с пользовательским соглашением