Упр.520 ГДЗ Зубарева Мордкович 6 класс ФГОС (Математика)
Решение #1

Рассмотрим вариант решения задания из учебника Зубарева, Мордкович 6 класс, Мнемозина:
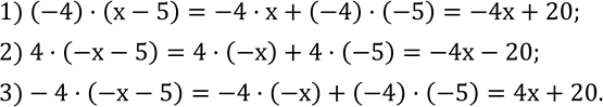
520. Подумайте, как, применяя распределительный закон, раскрыть скобки в таких случаях:
1) (-4)•(x-5);
2) 4•(-x-5);
3)-4•(-x-5).
*размещая тексты в комментариях ниже, вы автоматически соглашаетесь с пользовательским соглашением