Упр.51 ГДЗ Никольский Потапов 8 класс (Алгебра)
Решение #1

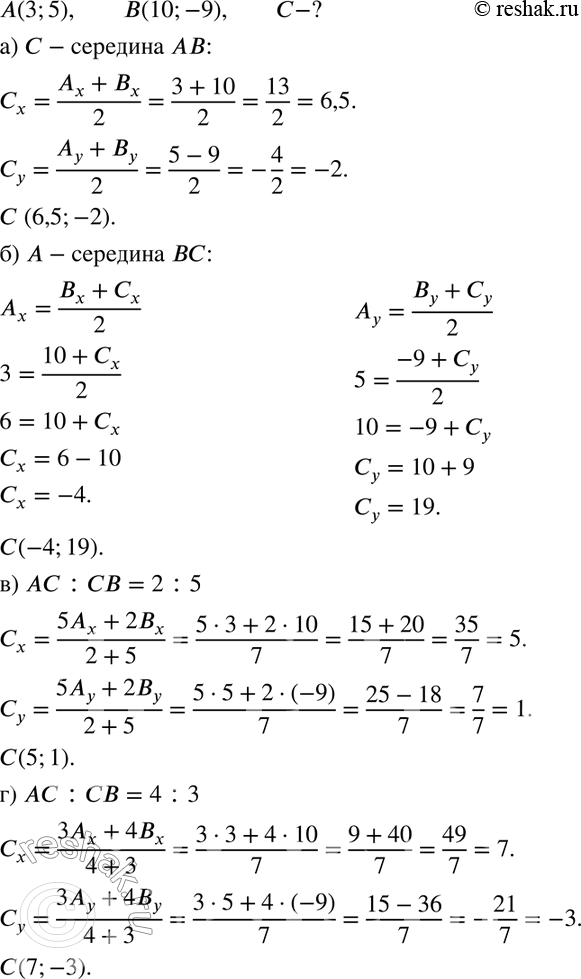
Рассмотрим вариант решения задания из учебника Никольский, Потапов 8 класс, Просвещение:
51. Даны точки А(3; 5) и В (10; -9). Определите координаты точки С, если:
а) С — середина отрезка АВ;
б) А — середина отрезка ВС;
в) АС : СВ = 2:5;
г) АС : СВ = 4 : 3.
*размещая тексты в комментариях ниже, вы автоматически соглашаетесь с пользовательским соглашением