Упр.427 ГДЗ Колягин Ткачёва 11 класс (Алгебра)
Решение #1
Решение #2

Рассмотрим вариант решения задания из учебника Колягин, Ткачёва, Фёдорова 11 класс, Просвещение:
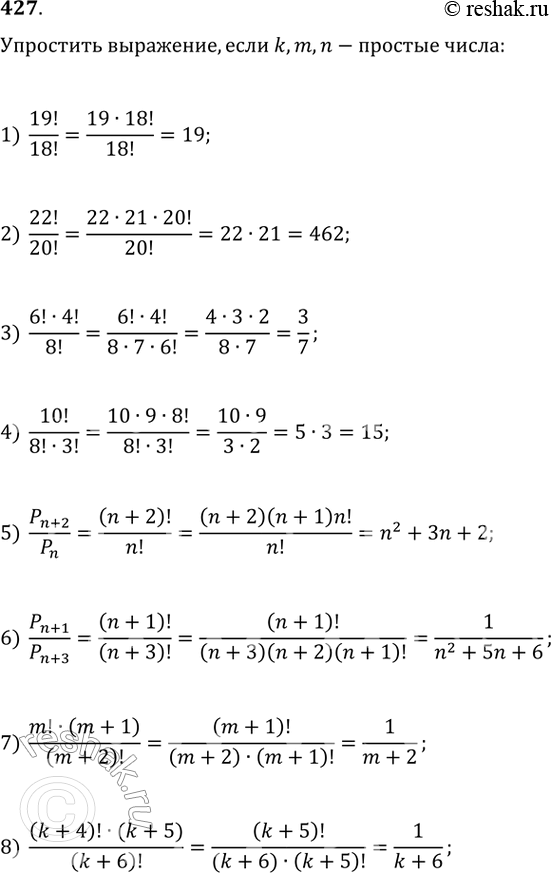
427. Упростить:
1) 19!/18!;
2) 22!/20!;
3) 6! * 4!/8!;
4) 10!/8!*3!;
5) Pn+1/Pn;
6) Pn+1/Pn+3;
7) m!*(m+1)/(m+2)!;
8) (k+4)! * (k+5)/(k+6)!;
если буквами k, m, n обозначены натуральные числа.
*размещая тексты в комментариях ниже, вы автоматически соглашаетесь с пользовательским соглашением