Упр.36.12 ГДЗ Мерзляк 10 класс Базовый уровень (Алгебра)
Решение #1

Рассмотрим вариант решения задания из учебника Мерзляк, Номировский, Полонский 10 класс, Вентана-Граф:
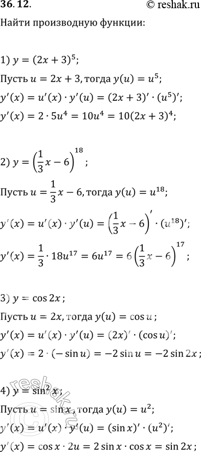
36.12. Найдите производную функции:
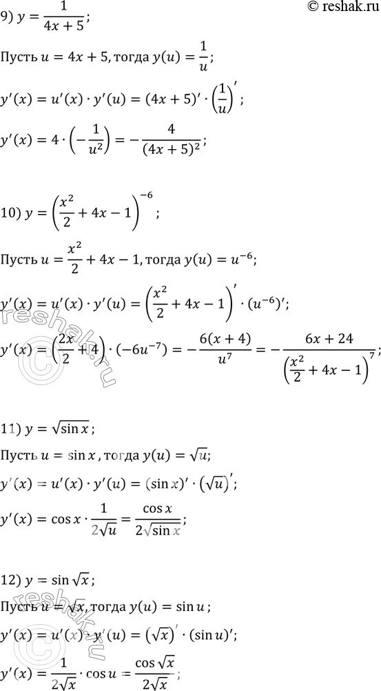
1) y=(2x+3)^5; 5) y=3ctg(x/5); 9) y=1/(4x+5);
2) y=((1/3)x-6)^18; 6) y=v(2x+1); 10) y=(x^2/2+4x-1)^(-6);
3) y=cos(2x); 7) y=(1-x)^(1/3); 11) y=vsin(x);
4) y=sin^2(x); 8) y=v(x^2+1); 12) y=sinvx.
*размещая тексты в комментариях ниже, вы автоматически соглашаетесь с пользовательским соглашением