Упр.344 ГДЗ Колягин Ткачёва 11 класс (Алгебра)
Решение #1
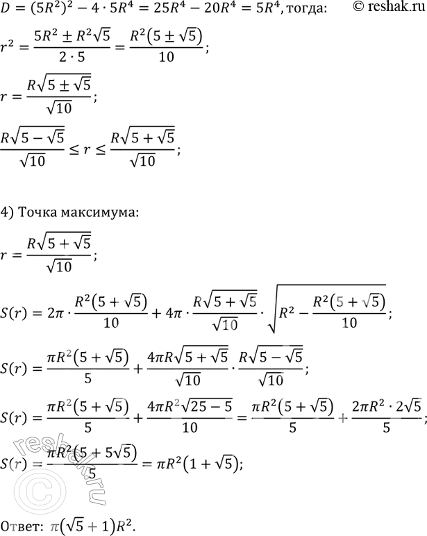
Решение #2

Рассмотрим вариант решения задания из учебника Колягин, Ткачёва, Фёдорова 11 класс, Просвещение:
344. Найти наибольшую площадь полной поверхности цилиндра, вписанного в сферу радиуса R.
*размещая тексты в комментариях ниже, вы автоматически соглашаетесь с пользовательским соглашением