Упр.299 ГДЗ Никольский Потапов 8 класс (Алгебра)
Решение #1

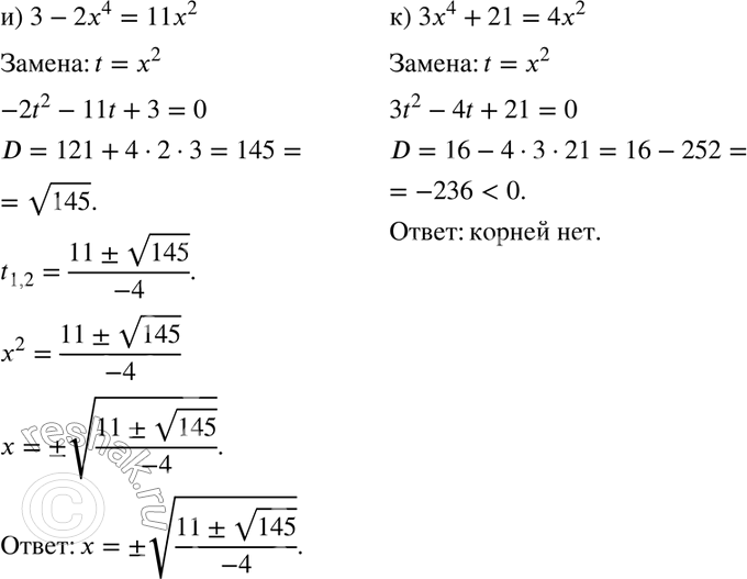
Рассмотрим вариант решения задания из учебника Никольский, Потапов 8 класс, Просвещение:
299 а) х4 + 6x2 + 9 = 0;
б) х4 - 14х2 -15 = 0;
в) 25x4 + 30x2 + 9 = 0;
г) 7х4 - 9х2 + 3 = 0;
д) 9x4 = 9x2 - 1;
е) х4 = 30х2 - 36;
ж) 4x4 = 5x2 + 6;
з) х4 - х2 - 4 = 0;
и) 3 - 2x4 = 11х2;
к) 3х4 + 21 = 4х2.
*размещая тексты в комментариях ниже, вы автоматически соглашаетесь с пользовательским соглашением