Упр.288 ГДЗ Зубарева Мордкович 6 класс ФГОС (Математика)
Решение #1

Рассмотрим вариант решения задания из учебника Зубарева, Мордкович 6 класс, Мнемозина:
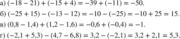
288. Вычислите:
а) (-18-21)+(-15+4);
б) (-25+15)-(-13-12);
в) (0,8-1,4)+(1,2-1,6);
г) (-2,1+5,3)-(4,7-6,8).
*размещая тексты в комментариях ниже, вы автоматически соглашаетесь с пользовательским соглашением