Упр.282 ГДЗ Никольский Потапов 9 класс (Алгебра)

Решение #1

Изображение Вычислите (282—286):282.а) корень третьей степени из 1000 - корень четвертой степени из 160000б) корень пятой степени из 32000000 + корень третьей степени из...

Решение #2

Изображение Вычислите (282—286):282.а) корень третьей степени из 1000 - корень четвертой степени из 160000б) корень пятой степени из 32000000 + корень третьей степени из...

Рассмотрим вариант решения задания из учебника Никольский, Потапов 9 класс, Просвещение:
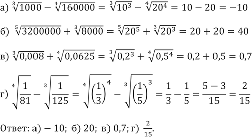
Вычислите (282—286):
282.а) корень третьей степени из 1000 - корень четвертой степени из 160000
б) корень пятой степени из 32000000 + корень третьей степени из 8000
в) корень третьей степени из 0,008 + корень четвертой степени из 0,0625
г) корень четвертой степени из 1/81 - корень третьей степени из 1/125
*Цитирирование задания со ссылкой на учебник производится исключительно в учебных целях для лучшего понимания разбора решения задания.
*размещая тексты в комментариях ниже, вы автоматически соглашаетесь с пользовательским соглашением