Упр.277 ГДЗ Никольский Потапов 8 класс (Алгебра)
Решение #1

Рассмотрим вариант решения задания из учебника Никольский, Потапов 8 класс, Просвещение:
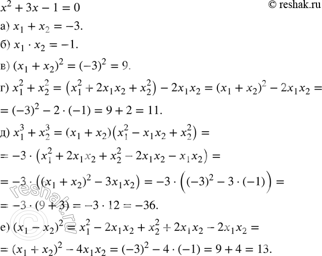
277 Уравнение x2 + 3x - 1 = 0 имеет два корня х1 и x2. Вычислите:
а) x1 + x2;
б) x1 * x2;
в) (x1 + x2)2;
г) x1^2 + x2^2;
д) x1^3 + x2^3;
е) (х1 - x2)2.
*размещая тексты в комментариях ниже, вы автоматически соглашаетесь с пользовательским соглашением