Упр.251 ГДЗ Никольский Потапов 8 класс (Алгебра)
Решение #1

Рассмотрим вариант решения задания из учебника Никольский, Потапов 8 класс, Просвещение:
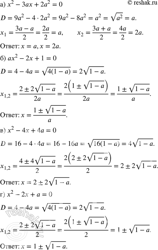
251. Решите уравнение для каждого действительного числа а:
а) х2 - 3ax + 2а2 = 0;
б) ах2 - 2х + 1 = 0;
в) х2 - 4х + 4а = 0;
г) х2 - 2х + а = 0.
*размещая тексты в комментариях ниже, вы автоматически соглашаетесь с пользовательским соглашением