Упр.24.9 ГДЗ Мерзляк 10 класс Базовый уровень (Алгебра)
Решение #1

Рассмотрим вариант решения задания из учебника Мерзляк, Номировский, Полонский 10 класс, Вентана-Граф:
24.9. Докажите тождество:
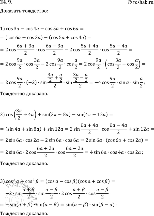
1) cos(3a)-cos(4a)-cos(5a)+cos(6a)=-4sin(a/2)sin(a)cos(9a/2);
2) cos(3?/2+4a)+sin(3?-8a)-sin(4?-12a)=4cos(2a)cos(4a)sin(6a);
3) cos^2(a)-cos^2(?)=sin(a+?)sin(?-a);
4) (sin(a)+sin(3a)+sin(5a)+sin(7a))/(cos(a)+cos(3a)+cos(5a)+cos(7a))=tg(4a);
5) 2(sin(2a)+2cos^2(a)-1)/(cos(a)-sin(a)-cos(3a)+sin(3a))=1/sin(a);
6) (1+cos(a)+cos(2a)+cos(3a))/(cos(a)+2cos^2(a)-1)=2cos(a);
7) (cos(a)-cos(?))^2+(sin(a)-sin(?))^2=4sin^2((a-?)/2);
8) ((sin(a)-cos(a))^2-1+sin(4a))/(cos(2a)+cos(4a))=tg(a);
9) (sin(a)/sin(2a)-cos(a)/cos(2a))·(cos(a)-cos(7a))/sin(a)=-4sin(3a);
10) ((cos(a)-cos(3a))(sin(a)+sin(3a))/(1-cos(4a))=sin(2a).
*размещая тексты в комментариях ниже, вы автоматически соглашаетесь с пользовательским соглашением