Упр.22 ГДЗ Никольский Потапов 9 класс (Алгебра)

Решение #1

Изображение 22. а) 0,2x>2/5   б) 1,5x7/12  ...
Дополнительное изображение

Решение #2

Изображение 22. а) 0,2x>2/5   б) 1,5x7/12  ...
Дополнительное изображение

Рассмотрим вариант решения задания из учебника Никольский, Потапов 9 класс, Просвещение:
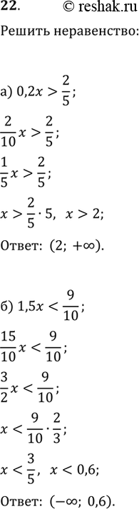
22.
а) 0,2x>2/5
б) 1,5x<9/10
в)-1,1x<42/5
г) x/2>3
д) x/4>7/12
е)-2x/3<-8
*Цитирирование задания со ссылкой на учебник производится исключительно в учебных целях для лучшего понимания разбора решения задания.
*размещая тексты в комментариях ниже, вы автоматически соглашаетесь с пользовательским соглашением