Упр.214 ГДЗ Никольский Потапов 9 класс (Алгебра)

Решение #1

Изображение 214. При каких значениях х (х >= 0) выполняется неравенство...

Решение #2

Изображение 214. При каких значениях х (х >= 0) выполняется неравенство...

Рассмотрим вариант решения задания из учебника Никольский, Потапов 9 класс, Просвещение:
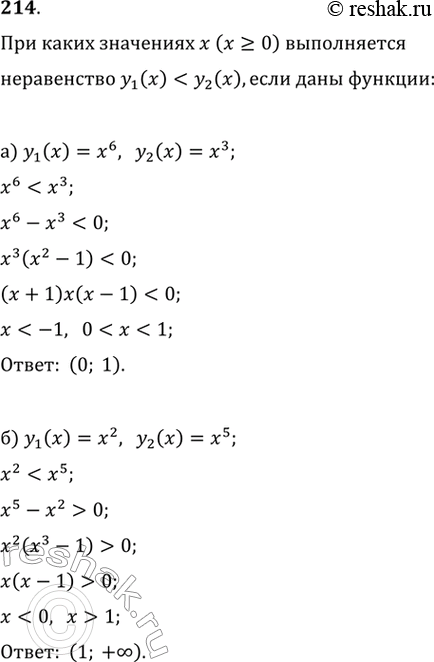
214. При каких значениях х (х >= 0) выполняется неравенство y1(x)
а) y1 (х) = х^6, у2(х) = х^3; б) у1(х) = х^2, у2(х) = х^5?
*Цитирирование задания со ссылкой на учебник производится исключительно в учебных целях для лучшего понимания разбора решения задания.
*размещая тексты в комментариях ниже, вы автоматически соглашаетесь с пользовательским соглашением