Упр.21.4 ГДЗ Мерзляк 10 класс Базовый уровень (Алгебра)
Решение #1

Рассмотрим вариант решения задания из учебника Мерзляк, Номировский, Полонский 10 класс, Вентана-Граф:
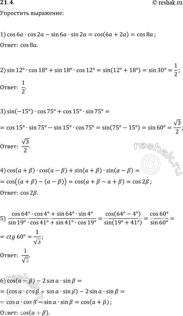
21.4. Упростите выражение:
1) cos(6a)cos(2a)-sin(6a)sin(2a);
2) sin(12°)cos(18°)+sin(18°)cos(12°);
3) sin(-15°)cos(75°)+cos(15°)sin(75°);
4) cos(a+?)cos(a-?)+sin(a+?)sin(a-?);
5) (cos(64°)cos(4°)+sin(64°)sin(4°))/(sin(19°)cos(41°)+sin(41°)cos(19°));
6) cos(a-?)-2sin(a)sin(?).
*размещая тексты в комментариях ниже, вы автоматически соглашаетесь с пользовательским соглашением