Упр.208 ГДЗ Колягин Ткачёва 11 класс (Алгебра)
Решение #1
Решение #2

Рассмотрим вариант решения задания из учебника Колягин, Ткачёва, Фёдорова 11 класс, Просвещение:
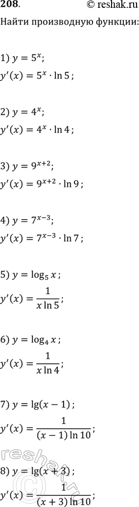
208. 1) 5х;
2) 4х;
3) 9x + 2;
4) 7х-3;
5) log5x;
6) log4х;
7) lg(x - 1);
8) lg(x + 3).
*размещая тексты в комментариях ниже, вы автоматически соглашаетесь с пользовательским соглашением