Упр.20.8 ГДЗ Мерзляк 10 класс Базовый уровень (Алгебра)
Решение #1

Рассмотрим вариант решения задания из учебника Мерзляк, Номировский, Полонский 10 класс, Вентана-Граф:
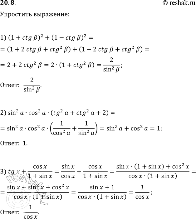
20.8. Упростите выражение:
1) (1+ctg ?)^2+(1-ctg ?)^2; 5) tg^2(a)/(1+tg^2(a))·(1+ctg^2(a))/ctg^2(a);
2) sin^2(a)cos^2(a)(tg^2(a)+ctg^2(a)+2); 6) (1+tg a)/(1+ctg a);
3) tg x+(cos x)/(1+sin x); 7) cos^4(a)+sin^2(a)cos^2(a)-cos^2(a)-1;
4) (cos ?)/(1-sin ?)+(1-sin ?)/(cos ?); 8) tg(-a)ctg(a)+sin^2(-a).
*размещая тексты в комментариях ниже, вы автоматически соглашаетесь с пользовательским соглашением