Упр.20.1 ГДЗ Мерзляк 10 класс Базовый уровень (Алгебра)
Решение #1

Рассмотрим вариант решения задания из учебника Мерзляк, Номировский, Полонский 10 класс, Вентана-Граф:
20.1. Упростите выражение:
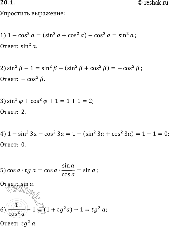
1) 1-cos^2 a; 6) 1/(cos^2 a)-1;
2) sin^2 ?-1; 7) 1-sin^2(a)+cos^2(a)sin^2(a);
3) sin^2(?)+cos^2(?)+1; 8) cos^2(a)+ctg^2(a)-1/sin^2(a);
4) 1-sin^2(3a)-cos^2(3a); 9) sin^2(?)/(1-sin^2(?))·ctg^2(?);
5) cos(a)tg(a); 10) (sin a+cos a)^2+(sin a-cos a)^2.
*размещая тексты в комментариях ниже, вы автоматически соглашаетесь с пользовательским соглашением