Упр.176 ГДЗ Колягин Ткачёва 11 класс (Алгебра)
Решение #1
Решение #2

Рассмотрим вариант решения задания из учебника Колягин, Ткачёва, Фёдорова 11 класс, Просвещение:
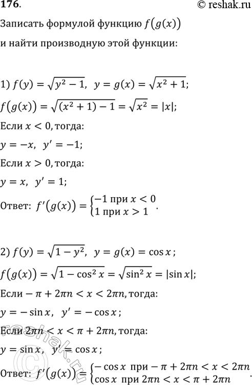
176. Записать формулой функцию f(g(x)) и найти её производную, если:
1) f(y) = корень y2 - 1, y = g(х) = корень x2 +1;
2) f(у) = корень 1-у2, у = g(x) = cos х.
*размещая тексты в комментариях ниже, вы автоматически соглашаетесь с пользовательским соглашением