Упр.168 ГДЗ Никольский Потапов 9 класс (Алгебра)

Решение #1

Изображение 168.а)-x^2+2x-1>=0...

Решение #2

Изображение 168.а)-x^2+2x-1>=0...

Рассмотрим вариант решения задания из учебника Никольский, Потапов 9 класс, Просвещение:
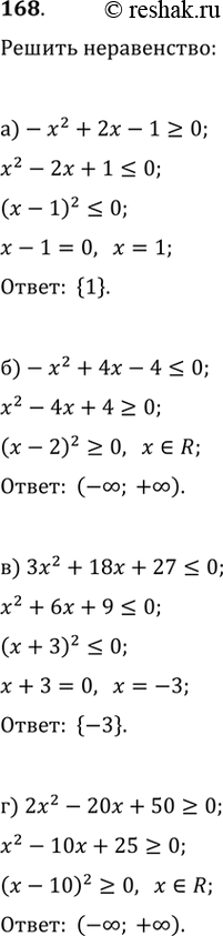
168.
а)-x^2+2x-1>=0

б)-x^2+4x-4<=0

в) 3x^2+18x+27<=0

г) 2x^2-20x+50>=0
*Цитирирование задания со ссылкой на учебник производится исключительно в учебных целях для лучшего понимания разбора решения задания.
*размещая тексты в комментариях ниже, вы автоматически соглашаетесь с пользовательским соглашением