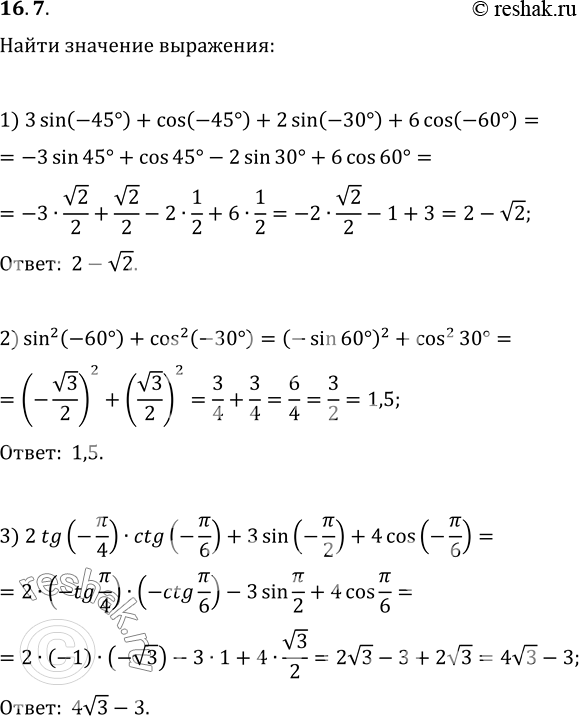
Упр.16.7 ГДЗ Мерзляк 10 класс Базовый уровень (Алгебра)
Решение #1

Рассмотрим вариант решения задания из учебника Мерзляк, Номировский, Полонский 10 класс, Вентана-Граф:
16.7. Найдите значение выражения:
1) 3sin(-45°)+cos(-45°)+2sin(-30°)+6cos(-60°);
2) sin^2(-60°)+cos^2(-30°);
3) 2tg(-?/4)ctg(-?/6)+3sin(-?/2)+4cos(-?/6).
*размещая тексты в комментариях ниже, вы автоматически соглашаетесь с пользовательским соглашением