Упр.36.14 ГДЗ Мордкович Семенов 7 класс (Алгебра)
Решение #1

Рассмотрим вариант решения задания из учебника Мордкович, Семенов, Александрова 7 класс, Бином:
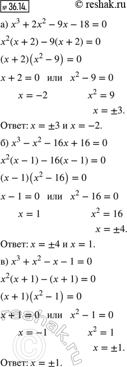
36.14. Решите уравнение:
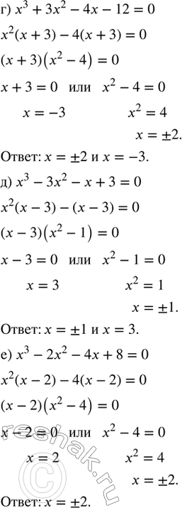
а) x^3 + 2x^2 - 9x - 18 = 0; г) x^3 + 3x^2 - 4x - 12 = 0;
б) x^3 - x^2 - 16x + 16 = 0; д) x^3 - 3x^2 - x + 3 = 0;
в) x^3 + x^2 - x - 1 = 0; е) x^3 - 2x^2 - 4x + 8 = 0.
*размещая тексты в комментариях ниже, вы автоматически соглашаетесь с пользовательским соглашением