Упр.31.17 ГДЗ Мордкович Семенов 7 класс (Алгебра)
Решение #1

Рассмотрим вариант решения задания из учебника Мордкович, Семенов, Александрова 7 класс, Бином:
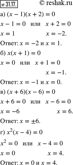
31.17. Решите уравнение:
а) (x - 1)(x + 2) = 0; в) (x + 6)(x - 6) = 0;
б) x(x + 1) = 0; г) x^2 (x - 4) = 0.
*размещая тексты в комментариях ниже, вы автоматически соглашаетесь с пользовательским соглашением